Wenn Intelligenz ans Licht kommt
Jetzt sanieren und bereit für den Technologiewechsel sein!
Kleine Happen, großer Nutzen
Das serviceorientierte Wissenszentrum für alle, die mehr rund um das Thema Licht erfahren möchten.
Wir freuen uns darauf, Sie auf den kommenden Regionalmessen und Events persönlich zu treffen
Insights - Inspirations - Visions
E-Line Pro
Sie benötigen Hilfe?
Kontakt aufnehmen
> Anhang / Glossar / H, K
Lichtstrom, bezogen auf die gekrümmte Fläche einer Halbkugel, die auf der zu bewertenden Fläche liegt.
Einheit: Lux (lx).
Arithmetischer Mittelwert der an einem Punkt und im horizontalen Winkelbereich von 0∘ bis ± 90∘, d.h. auf der Fläche eines senkrecht stehenden Halbzylinders, vorhandenen vertikalen Beleuchtungsstärke Ev. Sie ist auch der Lichtstrom Φ bezogen auf die Mantelfläche A eines senkrecht stehenden Halbzylinders.
Esz = Φ/A.
Die Richtung der halbzylindrischen Beleuchtungsstärke, d. h. der gekrümmten Fläche, ist anzugeben.
Verhältnis des spektralen Strahlungsflusses bei einer festgelegten Bezugswellenlänge λ, z. B. 555 nm für das helladaptierte Auge, zum Strahlungsfluss bei einer anderen Wellenlänge, die zur gleichen Hellwahrnehmung führt. Anders ausgedrückt: Der Hellempfindlichkeitsgrad beschreibt die relative spektrale Hellempfindlichkeit des menschlichen Auges bei verschiedenen Wellenlängen gleichen spektralen Strahlungsflusses im Bereich von 380 nm bis 780 nm, bezogen auf die maximale Hellempfindlichkeit, die für das helladaptierte Auge bei der Wellenlänge von 555 nm und für das dunkeladaptierte Auge bei 507 nm erreicht wird. Es wird unterschieden in den relativen, spektralen Hellempfindlichkeitsgrad für das photopische Sehen (für das helladaptierte Auge, das Tagessehen) V(λ) mit dem Maximum bei 555 nm und für das skotopische Sehen (für das dunkeladaptierte Auge, das Nachtsehen) V′(λ) mit dem Maximum bei 507 nm. Dazwischen liegt der Bereich des mesopischen Sehens, das je nach Adaptationsniveau stärker von den hell- und farbtüchtigen Zapfen oder von den nur hellempfindlichen, farbuntüchtigen Stäbchen auf der Netzhaut bestimmt wird.
Zum Vergleich zeigt die Grafik die circadiane Funktion C(λ) mit einem Maximum bei etwa 480 nm (siehe auch Circadianes System), die für die Steuerung der biologischen Uhr des Menschen (Steuerung des Tag-Nacht-Rhythmus) verantwortlich ist.
Bereiche innerhalb von Arbeitsstättenn, insbesondere in solchen, die ungenügend mit Tageslicht versorgt sind und direkt an den unmittelbaren Umgebungsbereich anschließen, müssen ebenfalls angemessen beleuchtet werden. Diese Hintergrundbereiche sind nach EN 12464-1 auf einer Breite von mindestens 3,0 m mit 1/3 des Wartungswertes der Beleuchtungsstärke des unmittelbaren Umgebungsbereiches und einer Gleichmäßigkeit U0 von mindestens 0,10 zu beleuchten.
Quotient aus dem auf eine ebene horizontale Fläche auftreffenden Lichtstrom und der Größe dieser Fläche. Die horizontale Beleuchtungsstärke ist die Basisgröße für die meisten lichttechnischen Gütemerkmale und der Planung der Beleuchtung. Sie bestimmt die zu installierende Anzahl der Lampen und Leuchten.
Einheit Lux (lx).
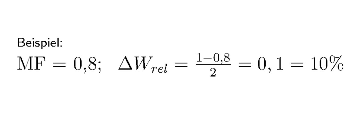
Elektronische Regelung zum Ausgleich der Degradation eines Leuchtmittels innerhalb seiner Bemessungslebensdauer Lx. Die im Neuzustand einer (ungeregelten) Beleuchtungsanlage auftretende Überbeleuchtung wird vermieden, indem die elektrische Leistungsaufnahme soweit gedrosselt wird, dass der erzeugte Lichtstrom auf seinen Wartungswert reduziert wird. Mit fortschreitender Degradation des Leuchtmittels wird die Leistungsaufnahme erhöht, sodass ein zeitlich konstanter Lichtstrom resultiert. Die maximale Leistungsaufnahme wird am Ende der Bemessungslebensdauer erreicht. Die Beleuchtungsstärke entspricht bis dahin zu jeder Zeit exakt ihrem Wartungswert.
Bei konstanter Degradation ergibt sich ein relatives Energieeinsparpotential ΔWrel von:
Maß für den Helligkeitsunterschied zwischen einem Objekt (ObjektLeuchtdichte L1) und seiner Umgebung (Hintergrundleuchtdichte L2), ausgedrückt durch das Leuchtdichteverhältnis L1/L2 oder (L1–L2)/L2 = ΔL/L. Ist das Objekt heller als seine Umgebung, spricht man vom Positivkontrast, ist es dunkler, erscheint es im Negativkontrast (Silhouette).
F, G L
Einleitung
Regelwerke Bereiche der Sehaufgabe Umgebungsbereiche Beleuchtungsstärke Gleichmäßigkeit der Beleuchtungsstärke Leuchtdichtverteilung Begrenzung der Blendung Räumliche Beleuchtung, Lichtrichtung, Modelling Lichtfarbe und Farbwiedergabe Flimmern und stroboskopische Effekte Tageslicht
Erhalt des Beleuchtungsniveaus (Wartungsfaktor) Licht und Arbeitsschutz Licht und nicht-visuelle Wirkungen Licht und Wirtschaftlichkeit Licht und Umwelt Gebäudezertifizierung Beleuchtungsplanung Messung der Beleuchtung Notbeleuchtung
Beleuchtung von Verkehrszonen und allgemeinen Bereichen in Gebäuden Beleuchtung industrieller und handwerklicher Arbeitsstätten Beleuchtung von Büros und Räumen mit Bildschirmarbeitsplätzen Beleuchtung von Sportstätten Beleuchtung von Räumen des Gesundheitswesens Beleuchtung von Alten- und Pflegeheimen Beleuchtung von öffentlichen Bereichen Beleuchtung von Verkaufsräumen Beleuchtung von Ausbildungsstätten Beleuchtung von Verkehrsbereichen Beleuchtung von Parkbauten Beleuchtung weiterer Innenräume
Leuchten Der erweiterte Qualitätsbegriff Lichttechnische Klassifizierung Lichttechnische Eigenschaften Photobiologische Sicherheit Konstruktive Eigenschaften, Montage und Anschluss Kennzeichnung von Leuchten Betrieb von Leuchten Betrieb von LED-Leuchten Betrieb von Leuchten für Entladungslampen Elektrische Sicherheit Brandschutz Elektromagnetische Sicherheit Mechanische Sicherheit Chemische und sonstige Einflüsse Akustische Eigenschaften Lufttechnische Eigenschaften
Feuergefährdete Betriebsstätten Räume mit Badewannen und Duschen Schwimmbäder Anlagen im Freien Landwirtschaftliche und gartenbauliche Betriebsstätten Lebensmittelindustrie Reinräume Anforderungen an medizinisch genutzte Räume Notbeleuchtungsanlagen
Leuchtenauswahltabelle
Anwendung und Funktion von Lichtmanagement Anwesenheitserfassung Tageslichtabhängige Regelung Schnittstellen Energy Monitoring und Light Monitoring Gebäudemanagement, KNX und andere Bussysteme
Leuchmittelarten Leuchtmittel-Eingenschaften Lampentabellen
ABC, DF, GH, KLMNORST, UV, W
Stichwortverzeichnis
Tabellenverzeichnis
Abbildungsverzeichnis
NormenVorschriften und EmpfehlungenEuropäische Richtlinien und VerordnungenWeitere Publikationen
Lichttechnische Gesellschaften
Normungs-Institute
Wählen Sie ein anderes Land oder eine andere Region, um Inhalte für Ihren Standort zu sehen.
Wählen Sie aus, wie oder wo Sie diese Seite gerne teilen möchten.
Zentrale
Heidestraße 59759 Arnsberg
TRILUX ONE ist Ihre persönliche E-Business-Plattform. Sie bündelt alle wichtigen Informationen und unterstützt Sie bei allen Prozessen rund um Ihre neue Beleuchtung.
Sie wurden automatisch weitergeleitet. Durch die Bündelung der Kompetenzen von TRILUX, Oktalite und Ansorg sind wir Ihr Partner für brillante Lichtkonzepte im Einzelhandel.
Alle Informationen zu unseren Lösungen, Produkten und Services finden Sie nun gebündelt und wie gewohnt verlässlich auf trilux.com.